| www.r-krell.de |
| Webangebot für Schule und Unterricht, Software, Fotovoltaik und mehr |
Willkommen/Übersicht > Mathematik >
Einige meiner
Mathematik-Klassenarbeiten aus der Oberstufe
(SII)
(mit den drei Jahren 1. EF , 2. Q1 und 3. Q2)
Weil ich inzwischen im Ruhestand bin, kommen keine neuen Klausuren mehr hinzu!
Deshalb bleibt es bei folgende Klassenarbeiten - jeweils mit Lösungen - aus meinem früheren Unterricht (bis Juli 2017):
Weil Bilder eingefügt werden, kann der Seitenaufbau bei langsamer Internetverbindung einen Moment dauern.
zum Seitenanfang / zum Seitenende
M 11 (EF) - 2016/2017
3. Klausur der
Einführungsphase (7.4.2017):
Funktionsuntersuchung bzw. Kurvendiskussion von
Polynomen
Inzwischen wurden die Geraden und Parabeln aus den ersten beiden Klausuren als Polynome ersten und zweiten Gerades erkannt. Weitere ganzrationale Funktionen höheren Grades wurden untersucht und besondere Punkte und Eigenschaften mit Hilfe von Ableitungen bzw. der Differenzialrechnung gefunden. Trotz grafikfähigem Taschenrechner ist die Funktionsuntersuchung nach wie vor ein wichtiges Thema im Analysis-Unterricht.
Das Aufgabenblatt der Klausur (zweiteilig: ohne und mit Taschenrechner zu bearbeiten!) kann (bei installiertem Adobe-Reader oder einem anderen .pdf-Viewer) mit Linksklick angesehen oder per Rechtsklick und „Ziel speichern unter.." herunter geladen werden. Die Lösungen sind als Bilder eingefügt. Sie können nach Rechtsklick auf jedes Bild auf die eigene Festplatte gespeichert („Bild speichern unter..") und später in Ruhe vergrößert bzw. in Originalgröße betrachtet werden. Natürlich sollten Sie aber vor dem Betrachten der Lösungen die Aufgaben erst selbst gelöst haben!
Aufgabenblatt (1 pdf-Dokument, 51 kB groß)
Aufgabenblatt
k3m11(ef)g3-17b.pdf
Klausur-Lösungen (2 Bilder von 79 bzw. 62 kB)
Anmerkung: Die Klausur Nr. 4 vom 14.6.2017 kann hier nicht veröffentlicht werden, da sie zentral gestellt wurde. Vermutlich wird sie ab Herbst 2017 in einem geschützten Bereich des Internets veröffentlicht, von wo sie nach Anmeldung von Lehrerinnen und Lehrern aus Nordrhein-Westfalen zu Übungszwecken für ihre Schülerinnen und Schüler nachfolgender Jahrgänge herunter geladen werden darf.
zum Seitenanfang / zum Seitenende
M 11 (EF) - 2016/2017
2. Klausur der Einführungsphase (9.12.2016): Funktionen, insbes. Parabeln
Nach den Geraden aus der 1. Klausur steht nun mit den Parabeln die nächste Klasse von Funktionen auf dem Lehrplan.
Das Aufgabenblatt der Klausur kann (bei installiertem Adobe-Reader oder einem anderen .pdf-Viewer) mit Linksklick angesehen oder per Rechtsklick und „Ziel speichern unter.." herunter geladen werden. Die Lösungen sind als Bilder eingefügt. Sie können nach Rechtsklick auf jedes Bild auf die eigene Festplatte gespeichert („Bild speichern unter..") und später in Ruhe vergrößert bzw. in Originalgröße betrachtet werden. Natürlich sollten Sie aber vor dem Betrachten der Lösungen die Aufgaben erst selbst gelöst haben!
Aufgabenblatt (1 pdf-Dokument, 109 kB groß)
Aufgabenblatt
k2m11(ef)g3-16b.pdf
Klausur-Lösungen (2 Bilder von 100 bzw. 65 kB)
zum Seitenanfang / zum Seitenende
M 11 (EF) - 2016/2017
1. Klausur der Einführungsphase (28.10.2016): Geradengleichungen
Es muss ja nicht immer der fortgeschrittene Stoff der Qualifikationsphase sein (s.u. bzw. ganz oben): Auch Anfänger, die gerade erst in die Oberstufe gekommen sind und dort die Einführungsphase begonnen haben, müssen Klausuren in Mathematik schreiben. Hier ging es ganz zu Beginn der Analysis im Wesentlichen um Geraden.
Das Aufgabenblatt der Klausur kann (bei installiertem Adobe-Reader oder einem anderen .pdf-Viewer) mit Linksklick angesehen oder per Rechtsklick und „Ziel speichern unter.." herunter geladen werden. Die Lösungen sind als Bilder eingefügt. Sie können nach Rechtsklick auf jedes Bild auf die eigene Festplatte gespeichert („Bild speichern unter..") und später in Ruhe vergrößert bzw. in Originalgröße betrachtet werden. Natürlich sollten Sie aber vor dem Betrachten der Lösungen die Aufgaben erst selbst gelöst haben!
Aufgabenblatt (1 pdf-Dokument, 89 kB groß)
Aufgabenblatt
k1m11(ef)g3-16a.pdf
Klausur-Lösungen (2 Bilder von 40 bzw. 23 kB)
zum Seitenanfang / zum Seitenende
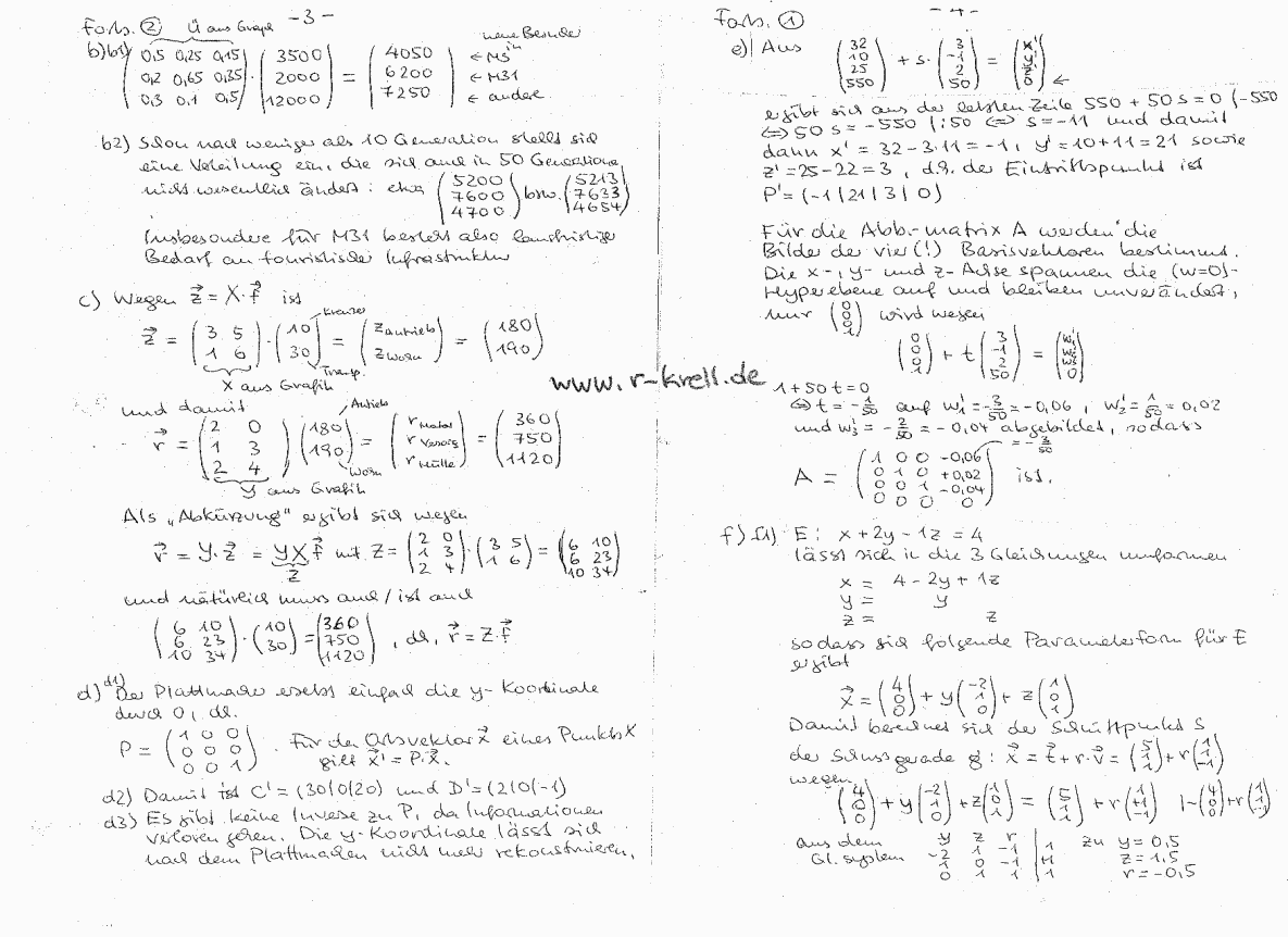
M 13 (Q2) - 2016/2017
2. Klausur der
Qualifikationsphase II (13.12.2016):
Lineare Algebra 2 - Matrizen (mit
Außerirdischen)
In der Q2 wurde mit der "Vektorrechnung", d.h. der Linearen Algebra begonnen. Während etwas weiter unten die Vorbereitung auf die erste Klausur der Q2 mit Geraden, Ebenen und Schnitten zu sehen ist, zeige ich hier die zweite Klausur, die sich hauptsächlich mit Matrizen beschäftigt. Vorab mussten die Schülerinnen und Schüler die Hilfsmittel dem aufsichtführenden Lehrer abgeben; dann wurden um 8:00 Uhr sämtliche Aufgabenstellungen ausgeteilt (die Aufgabe 1 auf einem eigenen Blatt mit leerer Rückseite, die Aufgaben 2 und 3 auf zwei weiteren Blättern). Erst nach Abgabe des Aufgabenblatts 1 und der zugehörigen Lösungen durften dann die Hilfsmittel Formelsammlung und grafikfähiger Taschenrechner abgeholt und bei der Bearbeitung der Aufgaben 2 und 3 verwendet werden.
Der Kontext der Aufgabe 2 sollte - nachdem Mulder und Scully die Fakten zusammen getragen hatten - eigentlich in den tiefsten Kellern des FBI versteckt bleiben, dringt jetzt aber doch an die bisher ahnungslose Öffentlichkeit: Hoffentlich müssen die Men in Black nicht alle Leserinnen und Leser des Aufgabenblatts blitzdingsen!
Aufgabenblatt (1 pdf-Dokument, 142 kB)
Aufgabenblatt
k2m13(q2)m-16.pdf
Klausur-Lösungen (4 Bilder von 22 bis 82 kB)
m-16-lsg7.gif)
Anmerkung: Die 3. Klausur kann hier nicht veröffentlicht werden, weil sie u.a. Aufgabenteile früherer Abiturklausuren enthält. Die 4. Klausur ist die Abiturklausur, die Anfang Mai 2017 zentral gestellt und geschrieben wurde, und die vermutlich ab Herbst 2017 zwei bis drei Jahre lang mit Passwort (das Lehrer und Schüler in Nordrhein-Westfalen über ihre Schule erhalten) im Internet gefunden werden kann (siehe Mathematik-Hauptseite > Zentralabitur).
zum Seitenanfang / zum Seitenende
M 13 (Q2) - 2016/2017
1. Klausur der
Qualifikationsphase II (6./18.10.2016):
Lineare Algebra 1 - Vektoren, Geraden und
Ebenen
In der Q2 wurde mit der "Vektorrechnung", d.h. der Linearen Algebra begonnen. Weil ich in der ersten Klausur zwei kleinere Teilaufgaben aus fremden Quellen übernommen habe, kann ich das Aufgabenblatt nicht ins Netz stellen.
Aber es gab zur Vorbereitung über die Herbstferien ein Übungsblatt und später dazu Lösungen, die nachfolgend angesehen bzw. herunter geladen werden können.
Aufgabenblatt (1 pdf-Dokument, 3 Seiten, 100 kB)
Aufgabenblatt
k1m13(q2)m-16-vorb.pdf
Lösungen zum Aufgabenblatt (1 pdf-Dokument, 12 Seiten, 3,7 MB)
Aufgaben
& Lösungen k1m13(q2)m-16-vorb
mit lsg.pdf
zum Seitenanfang / zum Seitenende
M 12 (Q1) - 2015/2016
4. Klausur der
Qualifikationsphase I (25.5.2016): Stochastik
2
-- Hypothesentests, Normalverteilung und Bedingte
Wahrscheinlichkeit
Zum Abschluss der Stochastik stehen nochmal Hypothesentests (s.u., 3. Klausur) sowie die Normalverteilung (sowohl als Näherung für die Binomialverteilung diskreter, ganzzahliger Größen wie auch als Verteilung stetiger Werte) sowie Bedingte Wahrscheinlichkeiten mit der Bayes-Formel, Vierfeldertafeln, Bäumen und dem Simpson-Paradoxon auf dem Programm.
Das Aufgabenblatt der Klausur kann wie immer als .pdf-Datei mit Linksklick in einem neuen Fenster angesehen oder per Rechtsklick und „Ziel speichern unter.." herunter geladen werden. Die Lösungen sind als Bilder eingefügt. Jedes Bild kann nach Rechtsklick ins Bild auf den eigenen Rechner gespeichert („Bild speichern unter..") und später in Ruhe vergrößert bzw. in Originalgröße betrachtet werden. Natürlich sollten Sie die Aufgaben erst selber bearbeiten, bevor Sie sich die Lösungen ansehen!
Aufgabenblatt (1 pdf-Dokument, 52 kB)
Aufgabenblatt
k4m12(q1)m-16a.pdf
Klausur-Lösungen (3 Bilder von 83, 84 und 42 kB)
zum Seitenanfang / zum Seitenende
M 12 (Q1) - 2015/2016
3. Klausur der
Qualifikationsphase I (16.3.2016): Stochastik
1
-- Wahrscheinlichkeiten und Hypothesentest
Im zweiten Halbjahr des zweiten Oberstufenjahr startet die Stochastik im Prinzip nochmal bei Null: Bis zur Klausur wurden Grundbegriffe, Bäume, Wahrscheinlichkeitsverteilungen, Bernoulli-Versuche und Hypothesentests behandelt.
Das Aufgabenblatt der Klausur kann als .pdf-Datei mit Linksklick in einem neuen Fenster angesehen oder per Rechtsklick und „Ziel speichern unter.." herunter geladen werden. Die Lösungen sind als Bilder eingefügt. Sie können nach Rechtsklick auf jedes Bild auf die eigene Festplatte gespeichert („Bild speichern unter..") und später in Ruhe vergrößert bzw. in Originalgröße betrachtet werden. Natürlich sollten Sie aber vor dem Betrachten der Lösungen die Aufgaben erst selbst gelöst haben!
Aufgabenblatt (1 pdf-Dokument, 133 kB)
Aufgabenblatt
k3m12(q1)m-16a.pdf
Klausur-Lösungen (3 Bilder von 69 bis 83 kB)
zum Seitenanfang / zum Seitenende
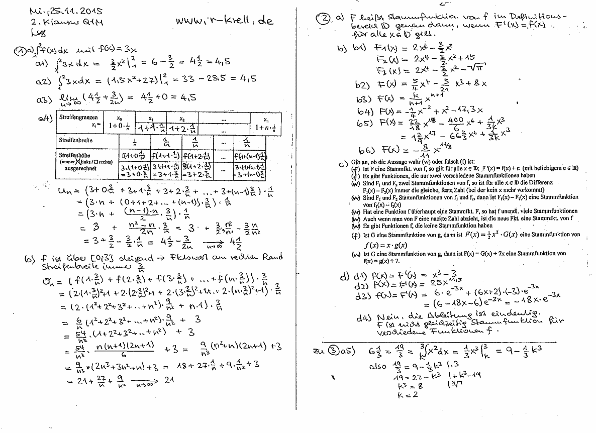
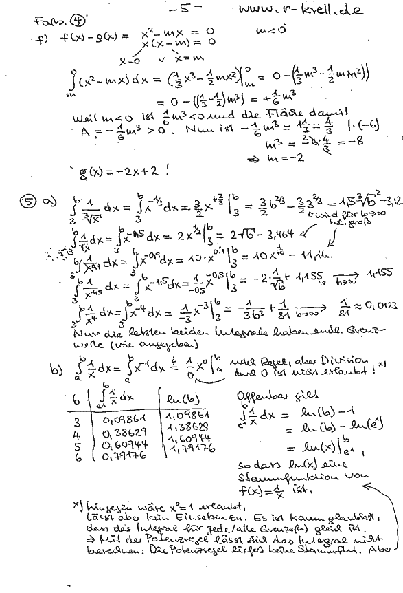
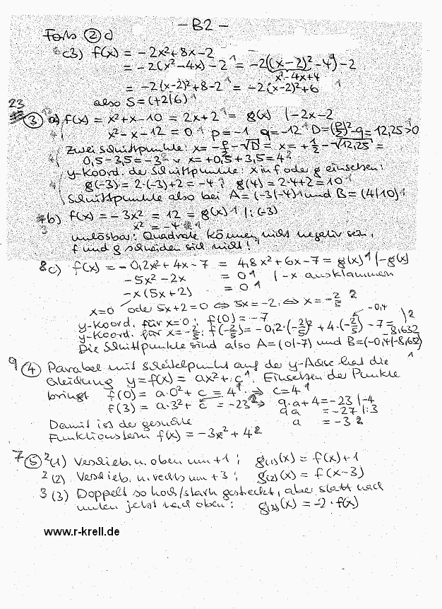
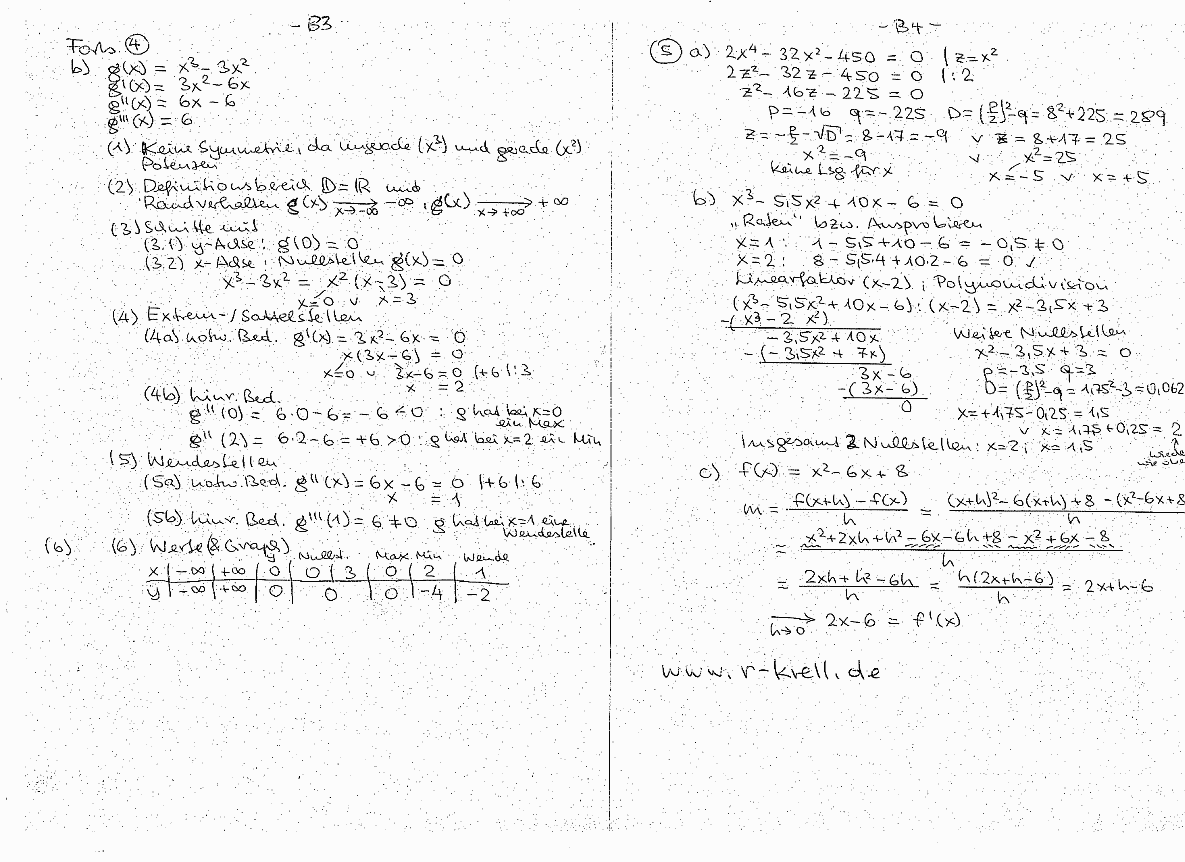
M 12 (Q1) - 2015/2016
2. Klausur der
Qualifikationsphase I (25.11.2015): Analysis
-- Integralrechnung
Im zweiten Oberstufenjahr steht anfangs noch die Analysis auf dem Plan: Hier - bei der zweiten Klassenarbeit im Leistungskurs unseres Bildungsgangs "Allgemeine Hochschulreife mit Schwerpunkt Mathematik/Informatik" -- ging es um die Integralrechnung. Einige weitere Aspekte - etwa die partielle Integration, die Integration durch Substitution, verschiedene numerische Verfahren und Rotationskörper wurden allerdings erst nach der Arbeit behandelt. Trotzdem war der abgeprüfte Stoff für die Zeit etwas zu umfangreich.
Das Aufgabenblatt der Klausur kann als .pdf-Datei mit Linksklick in einem neuen Fenster angesehen oder per Rechtsklick und „Ziel speichern unter.." herunter geladen werden. Die Lösungen sind als Bilder eingefügt. Sie können nach Rechtsklick auf jedes Bild auf die eigene Festplatte gespeichert („Bild speichern unter..") und später in Ruhe vergrößert bzw. in Originalgröße betrachtet werden. Natürlich sollten Sie aber vor dem Betrachten der Lösungen die Aufgaben erst selbst gelöst haben!
Aufgabenblatt (1 pdf-Dokument, 133 kB)
Aufgabenblatt
k2m12(q1)m-15a.pdf
Klausur-Lösungen (3 Bilder von 22 bis 88 kB)
zum Seitenanfang / zum Seitenende
M 12 (Q1) - 2011/2012
4. Klausur der Qualifikationsphase 1 (6.6.2012): Stochastik II -- Qualitätskontrolle und Hypothesentest
Im Rahmen der Stochastik waren jetzt Prüfplane zur
Kontrolle von Lieferungen sowie Hypothesentests das Thema --
jeweils mit der Bernoulli- bzw. Binomial-Verteilung.
Das Aufgabenblatt der Klausur kann als .pdf-Datei mit Linksklick
online in einem neuen Fenster angesehen oder per Rechtsklick und
„Ziel speichern unter.." herunter geladen werden. Die
Lösungen sind als Bilder eingefügt. Sie können
nach Rechtsklick auf jedes Bild auf die eigene Festplatte
gespeichert („Bild speichern unter..") und später in
Ruhe vergrößert bzw. in Originalgröße
betrachtet werden. Natürlich sollten Sie aber vor dem
Betrachten der Lösungen die Aufgaben erst selbst gelöst
haben!
Aufgabenblatt (1 pdf-Dokument, 96 kB)
Aufgabenblatt
k4m12(Q1)-Sp2-12a.pdf
Klausur-Lösungen (2 Bilder von 87 bzw 94 kB)
zum Seitenanfang / zum Seitenende
M 12 (Q1) - 2011/2012
3. Klausur der Qualifikationsphase 1 (28.3.2012): Stochastik I -- Häufigkeit und Wahrscheinlichkeit; Ergebnis und Ereignis, Wahrscheinlichkeitsbaum, Bernoulliversuche und Binomialverteilung
In der ersten Klausur zur Stochastik wurden Grundlagen,
Grundbegriffe und einfache Rechnungen mit Wahrscheinlichkeiten
abgefragt. Während der Klausur zeigte sich an den
Nachfragen, das trotz Biologie-Leistungskurs Begriffe wie Fisch
und Vogel nicht allen Schülerinnen und Schülern klar
waren (jedenfalls musste bestätigt werden, dass sowohl
Gänse wie auch Enten zu den Vögeln zählen und
Wasservögel keineswegs auch Fische sind)...
Das Aufgabenblatt der Klausur kann mit Linksklick online in einem
neuen Fenster angesehen oder per Rechtsklick und „Ziel
speichern unter.." herunter geladen werden. Die Lösungen
sind als Bilder eingefügt. Sie können nach Rechtsklick
auf jedes Bild auf die eigene Festplatte gespeichert („Bild
speichern unter..") und später in Ruhe vergrößert
bzw. in Originalgröße betrachtet werden.
Natürlich sollten Sie aber vor dem Betrachten der
Lösungen die Aufgaben erst selbst gelöst haben!
Aufgabenblatt (1 pdf-Dokument, 99 kB groß)
Aufgabenblatt
k3m12(Q1)Sp2-12a-pdf.pdf
Klausur-Lösungen (2 Bilder von 46 bzw 59 kB)
zum Seitenanfang / zum Seitenende
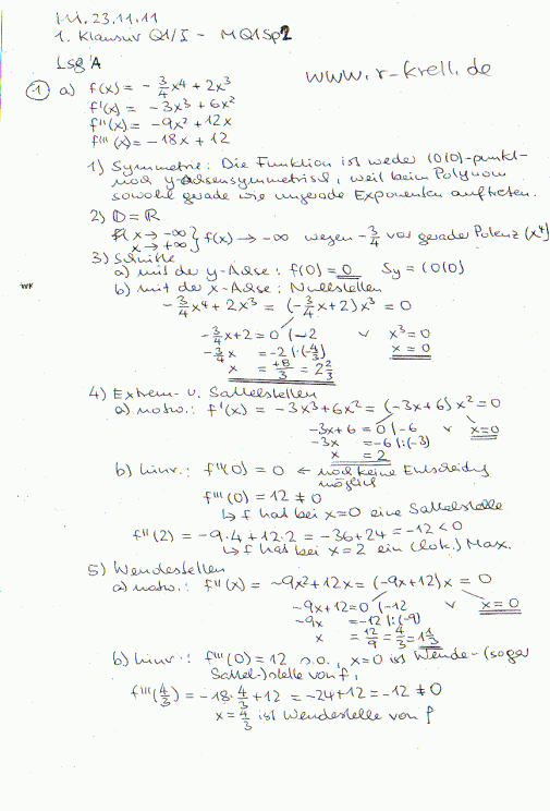
M 12 (Q1) - 2011/2012
1. Klausur der Qualifikationsphase 1 (23.11.2011): Analysis -- Kurvendiskussion und Extremwertaufgaben
Hier wurde im Grundkurs nochmal ein Rest von Funktionsuntersuchungen und zwei Extremwertaufgaben abgefragt.
Das Aufgabenblatt der Klausur kann (bei installiertem Adobe-Reader oder einem anderen .pdf-Viewer) mit Linksklick angesehen oder per Rechtsklick und „Ziel speichern unter.." herunter geladen werden. Die Lösungen sind als Bilder eingefügt. Sie können nach Rechtsklick auf jedes Bild auf die eigene Festplatte gespeichert („Bild speichern unter..") und später in Ruhe vergrößert bzw. in Originalgröße betrachtet werden. Natürlich sollten Sie aber vor dem Betrachten der Lösungen die Aufgaben erst selbst gelöst haben!
Aufgabenblatt (1 pdf-Dokument, 123 kB groß)
Aufgabenblatt
k1m12(Q1)sp1-11a.pdf
Klausur-Lösungen (2 Bilder von 42 bzw 85 kB)
zum Seitenanfang / zum Seitenende
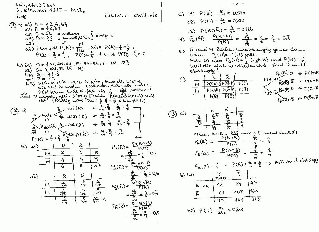
M 13 - 2011/2012
2. Klausur (14.12.2011): Stochastik III
Kurzfristig hatte ich für einen erkrankten Kollegen den Mathe-Grundkurs 13 übernommen. In den wenigen Wochen vor der Klausur hatte ich die Bedingte Wahrscheinlichkeit mit den Regeln von Bayes sowie die (stochastische) (Un-)Abhängigkeit von Ereignissen eingeführt und geübt. Natürlich war dazu auch der Ereignisbegriff selbst anfangs wiederholt worden. Während die Vierfeldertafel häufiger im Unterricht gebraucht worden war, war die Sechsfeldertafel in Aufgabe 3e und das Simpson-Paradoxon in der Aufgabe 4 völlig neu. Allerdings hatte ich es mit der Aufgabenfülle -- wohl aus der Angst, für das beschränkte Gebiet nicht genug Klausuraufgaben zu finden -- etwas übertrieben: Bis etwa in die Mitte von Aufgabe 3e sind praktisch alle Schülerinnen und Schüler gekommen; für mehr waren die 3x45 min Zeit wohl etwas zu knapp. Das Gebiet wird im Zentralabitur in NRW verlangt; ist aber in den Schulbüchern gar nicht, zu kurz oder jedenfalls keineswegs gut dargestellt.
Das Aufgabenblatt der Klausur kann (bei installiertem .pdf-Reader) mit Linksklick angesehen und per Rechtsklick und „Ziel speichern unter.." auch herunter geladen werden. Die Lösungen sind als Bilder eingefügt. Sie können nach Rechtsklick auf jedes Bild auf die eigene Festplatte gespeichert („Bild speichern unter..") und später in Ruhe vergrößert bzw. in Originalgröße betrachtet werden. Natürlich sollten Sie aber vor dem Betrachten der Lösungen die Aufgaben erst selbst gelöst haben!
Aufgabenblatt (1 pdf-Dokument, 121 kB groß)
Klausur-Lösungen (2 Bilder von je 89 bzw. 109 kB)
zurück zur Mathematik-Hauptseite